Álgebra lineal con aplicaciones

| 2. Álgebra de matrices | 2.2 Multiplicación Matriz-Vector |

Ejercicios propuestos para el Capítulo 2.2

Ejercicio 2.2.1 En cada caso, encuentra un sistema de ecuaciones que sea equivalente a la ecuación vectorial dada. (No resuelvas el sistema).

Ejercicio 2.2.2 En cada caso, encuentra una ecuación vectorial que sea equivalente al sistema de ecuaciones dado. (No resuelvas la ecuación).

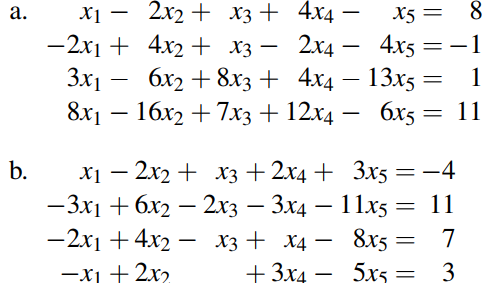
Ejercicio 2.2.3 En cada caso, calcula Ax usando: (i) Definición 2.5. (ii) Teorema 2.2.5 .

Ejercicio 2.2.4

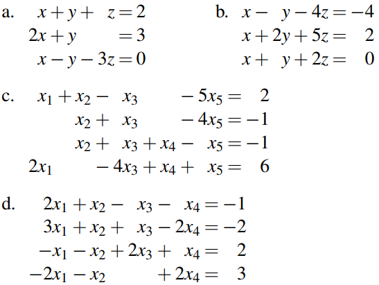
Sea la matriz de dada en términos de sus columnas , , y . En cada caso, exprese como una combinación lineal de , , y , o muestre que no es tal combinación lineal. Explique qué significa su respuesta para el sistema de ecuaciones lineales correspondiente .

a.

b.

Ejercicio 2.2.5 En cada caso, expresa cada solución del sistema como la suma de una solución específica más una solución del sistema homogéneo asociado.

Ejercicio 2.2.6 Si x0 y x1 son soluciones del sistema homogéneo de ecuaciones Ax = 0, usa el Teorema 2.2.2 para mostrar que s x0 + t x1 también es una solución para cualesquiera escalares s y t (llamada una combinación lineal de x0 y x1).

Ejercicio 2.2.7

Asuma que .

Muestre que es una solución para . Encuentre una familia de dos parámetros de soluciones para .

Ejercicio 2.2.8 En cada caso, escribe el sistema en la forma Ax = b, usa el algoritmo de Gauss para resolver el sistema y expresa la solución como una solución particular más una combinación lineal de soluciones básicas del sistema homogéneo asociado Ax = 0.

Ejercicio 2.2.9

Dados los vectores , , y , encuentre un vector que no sea una combinación lineal de , , y . Justifique su respuesta. [Pista: Parte (2) del Teorema 2.2.1].

Ejercicio 2.2.10 En cada caso, muestra que la afirmación es verdadera o da un ejemplo que muestre que es falsa.

  1. es una combinación lineal de y .
  2. Si tiene una entrada cero, entonces tiene una fila de ceros.
  3. Si donde , entonces .
  4. Toda combinación lineal de vectores en puede escribirse en la forma .
  5. Si en términos de sus columnas, y si , entonces el sistema tiene una solución.
  6. Si en términos de sus columnas, y si el sistema tiene una solución, entonces para algunos .
  7. Si es de y , entonces tiene una solución para cada columna .
  8. Si tiene una solución para alguna columna , entonces tiene una solución para cada columna .
  9. Si y son soluciones para , entonces es una solución para .
  10. Sea en términos de sus columnas. Si , entonces , donde .

Ejercicio 2.2.11

Sea una transformación. En cada caso, muestre que es inducida por una matriz y encuentre la matriz.

  1. es una reflexión en el eje .
  2. es una reflexión en la línea .
  3. es una reflexión en la línea .
  4. es una rotación en sentido horario a través de .

Ejercicio 2.2.12

La proyección está definida por

Muestre que es inducida por una matriz y encuentre la matriz.

Ejercicio 2.2.13

Sea una transformación. En cada caso, muestre que es inducida por una matriz y encuentre la matriz.

  1. es una reflexión en el plano .
  2. es una reflexión en el plano .
Ejercicio 2.2.14

Fije \(a>0\) en \(\mathbb{R}\), y defina \(T_a:\mathbb{R}^4 \to \mathbb{R}^4\) por \(T_a(\mathbf{x}) = a\mathbf{x}\) para todo \(\mathbf{x}\in\mathbb{R}^4\). Muestre que \(T\) está inducida por una matriz y encuentre la matriz. [\(T\) se llama una dilatación si \(a>1\) y una contracción si \(a<1\).]

Ejercicio 2.2.15

Sea \(A\) de tamaño \(m\times n\) y sea \(\mathbf{x}\) en \(\mathbb{R}^n\). Si \(A\) tiene una fila de ceros, muestre que \(A\mathbf{x}\) tiene una entrada cero.

Ejercicio 2.2.16

Si un vector \(\mathbf{b}\) es una combinación lineal de las columnas de \(A\), muestre que el sistema \(A\mathbf{x}=\mathbf{b}\) es consistente (es decir, tiene al menos una solución).

Ejercicio 2.2.17

Si un sistema \(A\mathbf{x}=\mathbf{b}\) es inconsistente (no tiene solución), muestre que \(\mathbf{b}\) no es una combinación lineal de las columnas de \(A\).

Ejercicio 2.2.18

Sean \(\mathbf{x}_1\) y \(\mathbf{x}_2\) soluciones del sistema homogéneo \(A\mathbf{x}=0\).

  1.  Demuestre que x1 + x2 es una solución de Ax = 0.
  2.  Demuestre que t x1 es una solución de Ax = 0 para cualquier escalar t.
Ejercicio 2.2.19

Suponga que \(\mathbf{x}_1\) es una solución del sistema \(A\mathbf{x}=\mathbf{b}\). Si \(\mathbf{x}_0\) es cualquier solución no trivial del sistema homogéneo asociado \(A\mathbf{x}=0\), muestre que \(\mathbf{x}_1 + t\mathbf{x}_0\), \(t\) un escalar, es una familia uniparamétrica infinita de soluciones del sistema \(A\mathbf{x}=\mathbf{b}\). [Pista: Ejemplo 2.1.7 Sección 2.1. ]

Ejercicio 2.2.20

Sea \(A\) y \(B\) matrices del mismo tamaño. Si \(\mathbf{x}\) es una solución tanto del sistema \(A\mathbf{x}=0\) como del sistema \(B\mathbf{x}=0\), muestre que \(\mathbf{x}\) es una solución del sistema \((A+B)\mathbf{x}=0\).

Ejercicio 2.2.21

Si \(A\) es una matriz de tamaño \(m \times n\) y \(A\mathbf{x}=0\) para todo \(\mathbf{x}\) en \(\mathbb{R}^n\), muestre que \(A = 0\) es la matriz cero. [Pista: Considere \(A\mathbf{e}_j\), donde \(\mathbf{e}_j\) es la \(j\)-ésima columna de \(I_n\); es decir, \(\mathbf{e}_j\) es el vector en \(\mathbb{R}^n\) cuyo valor en la entrada \(j\) es 1 y en todas las demás entradas es 0.]

Ejercicio 2.2.22: Demuestre la parte (1) del Teorema 2.2.2.

Ejercicio 2.2.23: Demuestre la parte (2) del Teorema 2.2.2.

Deja un comentario