| Series de potencias | Ejercicios propuestos para el Capítulo 7.10 |
7.10 Trabajando con series de Taylor
Objetivos de aprendizaje:
7.10.1 Escribe los términos de la serie binomial.
7.10.2 Reconoce las expansiones en series de Taylor de funciones comunes.
7.10.3 Reconoce y aplica técnicas para encontrar la serie de Taylor de una función.
7.10.4 Utiliza las series de Taylor para resolver ecuaciones diferenciales.
7.10.5 Utiliza las series de Taylor para evaluar integrales no elementales.
En la sección anterior, definimos las series de Taylor y mostramos cómo encontrar las series de Taylor para varias funciones comunes calculando explícitamente los coeficientes de los polinomios de Taylor. En esta sección mostramos cómo usar esas series de Taylor para derivar series de Taylor para otras funciones. Luego, presentamos dos aplicaciones comunes de las series de potencias. Primero, mostramos cómo se pueden usar las series de potencias para resolver ecuaciones diferenciales. Segundo, mostramos cómo se pueden usar las series de potencias para evaluar integrales cuando la antiderivada del integrando no se puede expresar en términos de funciones elementales. En el Ejemplo 7.10.6, consideramos \(\int e^{-x^2}dx\), una integral que surge frecuentemente en la teoría de la probabilidad.
La serie binomial
Nuestro primer objetivo en esta sección es determinar la serie de Maclaurin para la función \(f(x) = (1 + x)^r\) para todos los números reales \(r\). La serie de Maclaurin para esta función se conoce como la serie binomial. Comenzamos considerando el caso más simple: \(r\) es un entero no negativo. Recordemos que, para \(r = 0, 1, 2, 3, 4\), \(f(x) = (1 + x)^r\) se puede escribir como
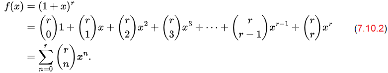
\[\begin{aligned} f(x) = (1 + x)^0 &= 1,\\ f(x) = (1 + x)^1 &= 1 + x,\\ f(x) = (1 + x)^2 &= 1 + 2x + x^2,\\ f(x) = (1 + x)^3 &= 1 + 3x + 3x^2 + x^3,\\ f(x) = (1 + x)^4 &= 1 + 4x + 6x^2 + 4x^3 + x^4. \end{aligned}\]Las expresiones del lado derecho se conocen como expansiones binomiales y los coeficientes se conocen como coeficientes binomiales. Más generalmente, para cualquier entero no negativo \(r\), el coeficiente binomial de \(x^n\) en la expansión binomial de \((1 + x)^r\) está dado por

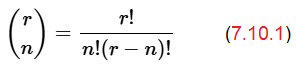
y

Por ejemplo, usando esta fórmula para \(r=5\), vemos que
\[\begin{aligned} f(x) &= (1+x)^{5} \\ &= \binom{5}{0}1+\binom{5}{1}x+\binom{5}{2}x^{2}+\binom{5}{3}x^{3}+\binom{5}{4}x^{4}+\binom{5}{5}x^{5} \\ &= \frac{5!}{0!5!}1+\frac{5!}{1!4!}x+\frac{5!}{2!3!}x^{2}+\frac{5!}{3!2!}x^{3}+\frac{5!}{4!1!}x^{4}+\frac{5!}{5!0!}x^{5} \\ &= 1+5x+10x^{2}+10x^{3}+5x^{4}+x^{5}. \end{aligned}\]Ahora consideramos el caso cuando el exponente \(r\) es cualquier número real, no necesariamente un entero no negativo. Si \(r\) no es un entero no negativo, entonces \(f(x)=(1+x)^{r}\) no se puede escribir como un polinomio finito. Sin embargo, podemos encontrar una serie de potencias para \(f\). Específicamente, buscamos la serie de Maclaurin para \(f\). Para hacer esto, encontramos las derivadas de \(f\) y las evaluamos en \(x=0\).
Concluimos que los coeficientes en la serie binomial están dados por

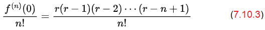
Observamos que si \(r\) es un entero no negativo, entonces la derivada \((r+1)\)-ésima \(f^{(r+1)}\) es la función cero, y la serie termina. Además, si \(r\) es un entero no negativo, entonces la Ecuación (7.10.3) para los coeficientes concuerda con la Ecuación (7.10.1) para los coeficientes, y la fórmula para la serie binomial concuerda con la Ecuación (7.10.2) para la expansión binomial finita. Más generalmente, para denotar los coeficientes binomiales para cualquier número real \(r\), definimos
\[\binom{r}{n} = \frac{r(r-1)(r-2) \cdots (r-n+1)}{n!}.\]Con esta notación, podemos escribir la serie binomial para \((1+x)^{r}\) como

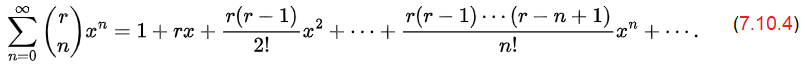
Ahora necesitamos determinar el intervalo de convergencia para la serie binomial Ecuación (7.10.4). Aplicamos el criterio del cociente. Consecuentemente, consideramos
\[\begin{aligned} \left| \frac{a_{n+1}}{a_n} \right| &= \left| \frac{r(r-1)(r-2) \cdots (r-n)}{(n+1)!} x^{n+1} \cdot \frac{n!}{r(r-1)(r-2) \cdots (r-n+1) x^n} \right| \\ &= \left| \frac{r-n}{n+1} x \right|. \end{aligned}\]Dado que
\[\lim_{n \to \infty} \left| \frac{a_{n+1}}{a_n} \right| = |x| < 1\]si y solo si \(|x| < 1\), concluimos que el intervalo de convergencia para la serie binomial es (−1, 1). El comportamiento en los extremos depende de \(r\). Se puede demostrar que para \(r \ge 0\) la serie converge en ambos extremos; para \(-1 < r < 0\), la serie converge en \(x = 1\) y diverge en \(x = -1\); y para \(r < -1\), la serie diverge en ambos extremos. La serie binomial sí converge a \((1+x)^r\) en (−1, 1) para todos los números reales \(r\), pero demostrar este hecho mostrando que el resto \(R_n(x) \to 0\) es difícil.
Definición 7.10.1
Para cualquier número real \( r \), la serie de Maclaurin para \( f(\mathit{x}) = (1 + \mathit{x})^r \) es la serie binomial. Converge a \( f \) para \( |\mathit{x}| < 1 \), y escribimos:
\[ (1 + x)^r = \sum_{n=0}^{\infty} \binom{r}{n} x^n = 1 + rx + \frac{r(r-1)}{2!}x^2 + \cdots + \frac{r(r-1) \cdots (r-n+1)}{n!}x^n + \cdots \]para \(|x| < 1\). ♦
Podemos usar esta definición para encontrar la serie binomial para \( f(\mathit{x}) = \sqrt{1 + \mathit{x}} \) y utilizar la serie para aproximar \( \sqrt{1.5} \).
Ejercicio ilustrativo 7.10.1 Encontrando Series Binomiales
a. Encuentre la serie binomial para \(f(x)=\sqrt{1+x}\).
b. Use el polinomio de Maclaurin de tercer orden \(p_3(x)\) para estimar \(\sqrt{1.5}\). Use el teorema de Taylor para acotar el error. Use una utilidad gráfica para comparar las gráficas de \(f\) y \(p_3\).
Solución:
a. Aquí \(r=\frac{1}{2}\). Usando la definición para la serie binomial, obtenemos
\[\begin{aligned} \sqrt{1+x} &= 1 + \frac{1}{2}x + \frac{\left(\frac{1}{2}\right)\left(-\frac{1}{2}\right)}{2!}x^2 + \frac{\left(\frac{1}{2}\right)\left(-\frac{1}{2}\right)\left(-\frac{3}{2}\right)}{3!}x^3 + \cdots \\ &= 1 + \frac{1}{2}x – \frac{1}{2!\cdot 2^2}x^2 + \frac{1\cdot 3}{3!\cdot 2^3}x^3 + \cdots + \frac{(-1)^{n+1} \cdot 1 \cdot 3 \cdot 5 \cdots (2n-3)}{n! \cdot 2^n}x^n + \cdots \\ &= 1 + \sum_{n=1}^{\infty} \frac{(-1)^{n+1} \cdot 1 \cdot 3 \cdot 5 \cdots (2n-3)}{n! \cdot 2^n} x^n. \end{aligned}\]b. Del resultado en la parte a, el polinomio de Maclaurin de tercer orden es
\[p_{3}(x) = 1 + \frac{1}{2}x – \frac{1}{8}x^2 + \frac{1}{16}x^3.\]Por lo tanto,
\[\begin{aligned} \sqrt{1.5} &= \sqrt{1+0.5} \\ &\approx 1 + \frac{1}{2}(0.5) – \frac{1}{8}(0.5)^2 + \frac{1}{16}(0.5)^3 \\ &\approx 1.2266. \end{aligned}\]Del teorema de Taylor, el error satisface
\[R_{3}(0.5) = \frac{f^{(4)}(c)}{4!}(0.5)^4\]para algún \(c\) entre 0 y 0.5. Dado que \(f^{(4)}(x) = -\frac{15}{2^{4}(1+x)^{7/2}}\), y el valor máximo de \(|f^{(4)}(x)|\) en el intervalo (0, 0.5) ocurre en \(x = 0\), tenemos
\[|R_{3}(0.5)| \le \frac{15}{4! \cdot 2^4}(0.5)^4 \approx 0.00244.\]La función y el polinomio de Maclaurin p3 están graficados en la Figura 7.10.1:

( Figura 7.10.1 El polinomio de Maclaurin de tercer orden \( p_3(x) \) proporciona una buena aproximación para \( f(x) = \sqrt{1+x} \) cuando \( x \) está cerca de cero.)
♦
Ejercicio de control 7.10.1
Encuentre la serie binomial para \(f(x)=\frac{1}{(1+x)^2}\). ♦
Funciones Comunes Expresadas como Series de Taylor
En este punto, hemos derivado series de Maclaurin para funciones exponenciales, trigonométricas y logarítmicas, así como funciones de la forma \(f(x)=(1+x)^{r}\). En la Tabla 7.10.1, resumimos los resultados de estas series. Observamos que la convergencia de la serie de Maclaurin para \(f(x)=ln(1+x)\) en el extremo \(x=1\) y la serie de Maclaurin para \(f(x) = \tan^{-1}x\) en los extremos \(x=1\) y \(x=-1\) se basa en un teorema más avanzado que presentamos aquí. (Consulte el teorema de Abel para una discusión de este punto más técnico).

(Tabla 7.10.1 Series de Maclaurin para Funciones Comunes)
Anteriormente en el capítulo, mostramos cómo se pueden combinar series de potencias para crear nuevas series de potencias. Aquí usamos estas propiedades, combinadas con las series de Maclaurin en la Tabla 7.10.1, para crear series de Maclaurin para otras funciones.
Ejercicio ilustrativo 7.10.2 Derivando Series de Maclaurin a partir de Series Conocidas
Encuentra la serie de Maclaurin de cada una de las siguientes funciones utilizando una de las series enumeradas en la Tabla 7.10.1.
a. \( f(x) = \sqrt{\cos x} \)
b. \( f(x) = \sinh x \)
Solución:
a. Usando la serie de Maclaurin para \(\cos x\) encontramos que la serie de Maclaurin para \(\cos\sqrt{x}\) está dada por
\[\begin{aligned} \sum_{n=0}^{\infty}\frac{(-1)^{n}(\sqrt{x})^{2n}}{(2n)!} &= \sum_{n=0}^{\infty}\frac{(-1)^{n}x^{n}}{(2n)!} \\ &= 1 – \frac{x}{2!} + \frac{x^2}{4!} – \frac{x^3}{6!} + \frac{x^4}{8!} – \cdots, \end{aligned}\]Esta serie converge a \(\cos\sqrt{x}\) para todo \(x\) en el dominio de \(\cos\sqrt{x}\); esto es, para todo \(x \ge 0\).
b. Para encontrar la serie de Maclaurin para \(\sinh x\), usamos el hecho de que
\[\sinh x = \frac{e^x – e^{-x}}{2}.\]Usando la serie de Maclaurin para \(e^x\), vemos que el término n-ésimo en la serie de Maclaurin para \(\sinh x\) está dado por
\[\frac{x^n}{n!} – \frac{(-x)^n}{n!}.\]Para \(n\) par, este término es cero. Para \(n\) impar, este término es \(\frac{2x^n}{n!}\). Por lo tanto, la serie de Maclaurin para \(\sinh x\) solo tiene términos de orden impar y está dada por
\[\sum_{n=0}^{\infty}\frac{x^{2n+1}}{(2n+1)!} = x + \frac{x^3}{3!} + \frac{x^5}{5!} + \cdots.\]♦
Ejercicio de control 7.10.2
Encuentra la serie de Maclaurin para sen(x2). ♦
También mostramos previamente en este capítulo cómo las series de potencias se pueden diferenciar término a término para crear una nueva serie de potencias. En el Ejemplo 7.10.3, diferenciamos la serie binomial para \(\sqrt{1+x}\) término a término para encontrar la serie binomial para
\[\frac{1}{\sqrt{1+x}}.\]Note que podríamos construir la serie binomial para \(\frac{1}{\sqrt{1+x}}\) directamente desde la definición, pero diferenciar la serie binomial para \(\sqrt{1+x}\) es un cálculo más sencillo.
Ejercicio ilustrativo 7.10.3 Diferenciación de una Serie para Encontrar una Nueva Serie
Use la serie binomial para \(\sqrt{1+x}\) para encontrar la serie binomial para
\[\frac{1}{\sqrt{1+x}}.\]Solución:
Las dos funciones están relacionadas por
\[\frac{d}{dx}\sqrt{1+x} = \frac{1}{2\sqrt{1+x}},\]así que la serie binomial para
\[\frac{1}{\sqrt{1+x}}\]está dada por
\[\begin{aligned} \frac{1}{\sqrt{1+x}} &= 2\frac{d}{dx}\sqrt{1+x} \\ &= 1 + \sum_{n=1}^{\infty} \frac{(-1)^{n} \cdot 1 \cdot 3 \cdot 5 \cdots (2n-1)}{n! \cdot 2^n}x^n. \end{aligned}\]♦
Ejercicio de control 7.10.3
Encuentre la serie binomial para \(f(x)=\frac{1}{(1+x)^{3/2}}\). ♦
En el anterior ejemplo, diferenciamos una serie de Taylor conocida para construir una serie de Taylor para otra función. La capacidad de diferenciar series de potencias término por término las convierte en una herramienta poderosa para resolver ecuaciones diferenciales. Ahora mostramos cómo se logra esto.
Resolución de Ecuaciones Diferenciales con Series de Potencias
Considere la ecuación diferencial
\[ y'(x) = y. \]
Recuerde que esta es una ecuación separable de primer orden y su solución es \(y = Ce^x\). Esta ecuación se resuelve fácilmente utilizando técnicas discutidas anteriormente en el texto. Sin embargo, para la mayoría de las ecuaciones diferenciales, aún no tenemos herramientas analíticas para resolverlas. Las series de potencias son una herramienta extremadamente útil para resolver muchos tipos de ecuaciones diferenciales. En esta técnica, buscamos una solución de la forma
\[y = \sum_{n=0}^{\infty} c_n x^n\]y determinamos cuáles deberían ser los coeficientes. En el siguiente ejemplo, consideramos un problema de valor inicial que involucra \(y’ = y\) para ilustrar la técnica.
Ejercicio ilustrativo 7.10.4 Solución de Ecuaciones Diferenciales mediante Series de Potencias
Use series de potencias para resolver el problema de valor inicial
\(y’=y, \quad y(0)=3.\)
Solución:
Suponga que existe una solución en serie de potencias
\[y(x)=\sum_{n=0}^{\infty}c_{n}x^{n}=c_{0}+c_{1}x+c_{2}x^{2}+c_{3}x^{3}+c_{4}x^{4}+\cdot\cdot\cdot.\]Diferenciando esta serie término a término, obtenemos
\[y^{\prime}=c_{1}+2c_{2}x+3c_{3}x^{2}+4c_{4}x^{3}+\cdot\cdot\cdot.\]Si \(y\) satisface la ecuación diferencial, entonces
\[c_{0}+c_{1}x+c_{2}x^{2}+c_{3}x^{3}+\cdot\cdot\cdot=c_{1}+2c_{2}x+3c_{3}x^{2}+4c_{4}x^{3}+\cdot\cdot\cdot.\]Usando la unicidad de las representaciones en series de potencias, sabemos que estas series solo pueden ser iguales si sus coeficientes son iguales. Por lo tanto,
\[\begin{matrix} c_{0}=c_{1},\\ c_{1}=2c_{2},\\ c_{2}=3c_{3},\\ c_{3}=4c_{4},\\ \vdots \end{matrix}\]Usando la condición inicial \(y(0)=3\) combinada con la representación en serie de potencias
\[y(x)=c_{0}+c_{1}x+c_{2}x^{2}+c_{3}x^{3}+\cdot\cdot\cdot,\]encontramos que \(c_{0}=3\). Ahora estamos listos para resolver el resto de los coeficientes. Usando el hecho de que \(c_{0}=3\), tenemos
\[\begin{aligned} c_{1}&=c_0=3 = \frac{3}{1!},\\ c_{2}&=\frac{c_1}{2}=\frac{3}{2}=\frac{3}{2!},\\ c_{3}&=\frac{c_2}{3}=\frac{3}{3\cdot 2} = \frac{3}{3!},\\ c_{4}&=\frac{c_3}{4}=\frac{3}{4\cdot 3\cdot 2}=\frac{3}{4!}. \end{aligned}\]Por lo tanto,
\[\begin{matrix} y=3\left[1+\frac{1}{1!}x+\frac{1}{2!}x^{2}+\frac{1}{3!}x^{3}+\frac{1}{4!}x^{4}+\cdot\cdot\cdot\right]\\ =3\sum_{n=0}^{\infty}\frac{x^{n}}{n!}. \end{matrix}\]Podrías reconocer
\[\sum_{n=0}^{\infty}\frac{x^{n}}{n!}\]como la serie de Taylor para \(e^{x}\). Por lo tanto, la solución es \(y=3e^{x}.\)
♦
Ejercicio de control 7.10.4
Usa series de potencias para resolver \( y’ = 2y, \, y(0) = 5. \) ♦
Ahora consideramos un ejemplo que involucra una ecuación diferencial que no podemos resolver utilizando los métodos discutidos previamente. Esta ecuación diferencial
\( y’ – x y = 0 \)
es conocida como la ecuación de Airy. Tiene muchas aplicaciones en la física matemática, como modelar la difracción de la luz. Aquí mostramos cómo resolverla usando series de potencias.
Ejercicio ilustrativo 7.10.5 Solución en Series de Potencias de la Ecuación de Airy
Utilice series de potencias para resolver
\[y^{\prime\prime}-xy=0\]
con las condiciones iniciales \(y(0)=a\) e \(y^{\prime}(0)=b\).
Solución:
Buscamos una solución de la forma
\[ y = \sum_{n=0}^{\infty} c_n x^n = c_0 + c_1 x + c_2 x^2 + c_3 x^3 + c_4 x^4 + \cdots. \]Derivando esta función término a término, obtenemos
\[ y’ = c_1 + 2c_2 x + 3c_3 x^2 + 4c_4 x^3 + \cdots, \] \[ y” = 2c_2 + 6c_3 x + 12c_4 x^2 + \cdots. \]Si \( y \) satisface la ecuación \( y′′ – x y = 0 \), entonces
\[ 2c_2 + 6c_3 x + 12c_4 x^2 + \cdots = x (c_0 + c_1 x + c_2 x^2 + c_3 x^3 + \cdots). \]Usando la unicidad de las series de potencias, sabemos que los coeficientes del mismo grado deben ser iguales. Por lo tanto,
\[ 2c_2 = 0, \quad 6c_3 = c_0, \quad 12c_4 = c_1, \quad 20c_5 = c_2, \quad \cdots. \]Más generalmente, para \( n \geq 0 \), tenemos que
\[ c_{n+2} = \frac{c_n}{(n+2)(n+1)}. \]Así, los coeficientes pueden escribirse en términos de \( c_0 \) y \( c_1 \). Primero, notemos que \( c_2 = 0 \), y luego tenemos:
\[ c_3 = \frac{c_0}{3 \cdot 2}, \quad c_4 = \frac{c_1}{4 \cdot 3}. \]Para \( c_5, c_6, c_7 \), tenemos que
\[ c_5 = \frac{c_2}{5 \cdot 4} = 0, \quad c_6 = \frac{c_3}{6 \cdot 5} = \frac{c_0}{6 \cdot 5 \cdot 3 \cdot 2}, \quad c_7 = \frac{c_4}{7 \cdot 6} = \frac{c_1}{7 \cdot 6 \cdot 4 \cdot 3}. \]Por lo tanto, la solución en series de la ecuación diferencial está dada por
\[ y = c_0 \left( 1 + \frac{x^3}{3 \cdot 2} + \frac{x^6}{6 \cdot 5 \cdot 3 \cdot 2} + \cdots \right) + c_1 \left( x + \frac{x^4}{4 \cdot 3} + \frac{x^7}{7 \cdot 6 \cdot 4 \cdot 3} + \cdots \right). \]La condición inicial \( y(0) = a \) implica \( c_0 = a \). Derivando esta serie término a término y usando el hecho de que \( y'(0) = b \), concluimos que \( c_1 = b \). Por lo tanto, la solución de este problema de valor inicial es
\[ y = a \left( 1 + \frac{x^3}{3 \cdot 2} + \frac{x^6}{6 \cdot 5 \cdot 3 \cdot 2} + \cdots \right) + b \left( x + \frac{x^4}{4 \cdot 3} + \frac{x^7}{7 \cdot 6 \cdot 4 \cdot 3} + \cdots \right). \] ♦Ejercicio de control 7.10.5
Utilice series de potencias para resolver \( y” + x^2 y = 0 \) con la condición inicial \( y(0) = a \) y \( y'(0) = b \). ♦
Evaluación de Integrales No Elementales
Resolver ecuaciones diferenciales es una aplicación común de las series de potencias. Ahora nos dirigimos a una segunda aplicación. Mostramos cómo las series de potencias pueden ser usadas para evaluar integrales que involucran funciones cuyas antiderivadas no pueden ser expresadas usando funciones elementales.
Una integral que surge a menudo en aplicaciones de la teoría de la probabilidad es \( \int e^{-x^2} dx \). Desafortunadamente, la antiderivada del integrando \( e^{-x^2} \) no es una función elemental. Por función elemental, nos referimos a una función que se puede escribir usando un número finito de combinaciones algebraicas o composiciones de funciones exponenciales, logarítmicas, trigonométricas o de potencia. Observamos que el término “función elemental” no es sinónimo de función no complicada. Por ejemplo, la función \( f(x) = \sqrt{x^2 – 3x} + e^{x^3} – \sin(5x + 4) \) es una función elemental, aunque no una función de aspecto particularmente simple. Cualquier integral de la forma \( \int f(x) dx \) donde la antiderivada de \( f \) no se puede escribir como una función elemental se considera una integral no elemental.
Las integrales no elementales no se pueden evaluar utilizando las técnicas básicas de integración discutidas anteriormente. Una forma de evaluar tales integrales es expresando el integrando como una serie de potencias e integrando término a término. Demostramos esta técnica considerando \( \int e^{-x^2} dx \).
Ejercicio ilustrativo 7.10.6 Usando Series de Taylor para Evaluar una Integral Definida
a. Exprese \(\int e^{-x^2}dx\) como una serie infinita.
b. Evalúe \(\int_{0}^{1}e^{-x^2}dx\) con un error dentro de 0.01.
Solución:
a. La serie de Maclaurin para \(e^{-x^{2}}\) está dada por
\[ \begin{aligned} e^{-x^{2}}&=\sum_{n=0}^{\infty}\frac{(-x^{2})^{n}}{n!}\\ &=1-x^{2}+\frac{x^{4}}{2!}-\frac{x^{6}}{3!}+\cdot\cdot\cdot+(-1)^{n}\frac{x^{2n}}{n!}+\cdot\cdot\cdot\\ &=\sum_{n=0}^{\infty}(-1)^{n}\frac{x^{2n}}{n!}. \end{aligned} \]
Por lo tanto,
\[ \begin{aligned} \int e^{-x^{2}}dx&=\int\left(1-x^{2}+\frac{x^{4}}{2!}-\frac{x^{6}}{3!}+\cdot\cdot\cdot+(-1)^{n}\frac{x^{2n}}{n!}+\cdot\cdot\cdot\right)dx\\ &=C+x-\frac{x^{3}}{3}+\frac{x^{5}}{5\cdot2!}-\frac{x^{7}}{7\cdot3!}+\cdot\cdot\cdot+(-1)^{n}\frac{x^{2n+1}}{(2n+1)n!}+\cdot\cdot\cdot, \end{aligned} \]
b. Usando el resultado de la parte a. tenemos
\[ \int_{0}^{1}e^{-x^{2}}dx=1-\frac{1}{3}+\frac{1}{10}-\frac{1}{42}+\frac{1}{216}-\cdot\cdot\cdot. \]
La suma de los primeros cuatro términos es aproximadamente 0.74. Mediante la prueba de series alternantes, esta estimación es precisa con un error menor que \(\frac{1}{216} \approx 0.0046296 < 0.01.\)
♦
Ejercicio de control 7.10.6
Exprese \(\int \cos\sqrt{x}dx\) como una serie infinita. Evalúe \(\int_{0}^{1}\cos\sqrt{x}dx\) con un error dentro de 0.01. ♦
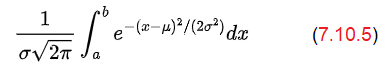
Como se mencionó anteriormente, la integral \(\int e^{-x^2} dx\) surge a menudo en la teoría de la probabilidad. Específicamente, se utiliza cuando se estudian conjuntos de datos que se distribuyen normalmente, lo que significa que los valores de los datos se encuentran bajo una curva en forma de campana. Por ejemplo, si un conjunto de valores de datos se distribuye normalmente con media \(µ\) y desviación estándar \(σ\), entonces la probabilidad de que un valor elegido al azar se encuentre entre \(x = a\) y \(x = b\) está dada por


(Figura 7.10.2 Si los valores de los datos se distribuyen normalmente con media \(µ\) y desviación estándar \(σ\), la probabilidad de que un valor de dato seleccionado aleatoriamente esté entre \(a\) y \(b\) es el área bajo la curva \(y = \frac{1}{\sigma\sqrt{2\pi}} e^{-(x-µ)^2/(2σ^2)}\) entre \(x = a\) y \(x = b\).)
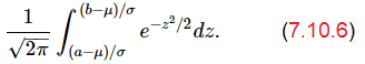
Para simplificar esta integral, normalmente hacemos \(z = \frac{x – µ}{σ}\). Esta cantidad \(z\) se conoce como la puntuación z de un valor de dato. Con esta simplificación, la integral Ecuación 7.10.5 se convierte en

En el Ejemplo 7.10.7, mostramos cómo podemos usar esta integral en el cálculo de probabilidades.
Ejercicio ilustrativo 7.10.7 Usando Series de Maclaurin para Aproximar una Probabilidad
Suponga que un conjunto de puntajes de exámenes estandarizados se distribuyen normalmente con una media \(\mu = 100\) y una desviación estándar \(\sigma = 50\). Use la Ecuación 7.10.6 y los primeros seis términos en la serie de Maclaurin para \(e^{-z^2/2}\) para aproximar la probabilidad de que un puntaje de examen seleccionado aleatoriamente esté entre \(x = 100\) y \(x = 200\). Use la prueba de series alternantes para determinar qué tan precisa es su aproximación.
Solución:
Dado que \(\mu = 100\), \(\sigma = 50\), y estamos intentando determinar el área bajo la curva desde \(a = 100\) hasta \(b = 200\), la integral Ecuación 7.10.6 se convierte en
\[ \frac{1}{\sqrt{2\pi}} \int_{0}^{2} e^{-z^2/2} dz. \]
La serie de Maclaurin para \(e^{-z^2/2}\) está dada por
\[ \begin{aligned} e^{-z^2/2} &= \sum_{n=0}^{\infty} \frac{\left(-\frac{z^2}{2}\right)^n}{n!} \\ &= 1 – \frac{z^2}{2} + \frac{z^4}{2^2 \cdot 2!} – \frac{z^6}{2^3 \cdot 3!} + \dots + (-1)^n \frac{z^{2n}}{2^n \cdot n!} + \dots \\ &= \sum_{n=0}^{\infty} (-1)^n \frac{z^{2n}}{2^n \cdot n!}. \end{aligned} \]
Por lo tanto,
\[ \begin{aligned} \frac{1}{\sqrt{2\pi}} \int e^{-z^2/2} dz &= \frac{1}{\sqrt{2\pi}} \int \left(1 – \frac{z^2}{2} + \frac{z^4}{2^2 \cdot 2!} – \frac{z^6}{2^3 \cdot 3!} + \dots + (-1)^n \frac{z^{2n}}{2^n \cdot n!} + \dots \right) dz \\ &= \frac{1}{\sqrt{2\pi}} \left(C + z – \frac{z^3}{3 \cdot 2 \cdot 1!} + \frac{z^5}{5 \cdot 2^2 \cdot 2!} – \frac{z^7}{7 \cdot 2^3 \cdot 3!} + \dots + (-1)^n \frac{z^{2n+1}}{(2n+1)2^n n!} + \dots \right) \end{aligned} \]
\[ \begin{aligned} \frac{1}{\sqrt{2\pi}} \int_{0}^{2} e^{-z^2/2} dz &= \frac{1}{\sqrt{2\pi}} \left(2 – \frac{8}{6} + \frac{32}{40} – \frac{128}{336} + \frac{512}{3456} – \frac{2^{11}}{11 \cdot 2^5 \cdot 5!} + \dots \right) \end{aligned} \]
Usando los primeros cinco términos, estimamos que la probabilidad es aproximadamente 0.4922. Mediante la prueba de series alternantes, vemos que esta estimación es precisa dentro de
\[ \frac{1}{\sqrt{2\pi}} \frac{2^{13}}{13 \cdot 2^6 \cdot 6!} \approx 0.00546. \]
Análisis:
Si estás familiarizado con la teoría de probabilidad, puedes saber que la probabilidad de que un valor de datos esté dentro de dos desviaciones estándar de la media es aproximadamente del 95%. Aquí calculamos la probabilidad de que un valor de datos esté entre la media y dos desviaciones estándar por encima de la media, por lo que la estimación debería ser alrededor del 47.5%. La estimación, combinada con el límite en la precisión, se encuentra dentro de este rango. ♦
Ejercicio de control 7.10.7
Use los primeros cinco términos de la serie de Maclaurin para \(e^{-x^2/2}\) para estimar la probabilidad de que un puntaje de examen seleccionado aleatoriamente esté entre 100 y 150. Use la prueba de series alternantes para determinar la precisión de esta estimación. ♦
Otra aplicación en la que surge una integral no elemental involucra el período de un péndulo. La integral es
\[\int_{0}^{\pi/2} \frac{d\theta}{\sqrt{1 – k^2 \sin^2 \theta}}.\]Una integral de esta forma es conocida como una integral elíptica de primer tipo. Las integrales elípticas surgieron originalmente al tratar de calcular la longitud de arco de una elipse. Ahora mostramos cómo usar series de potencias para aproximar esta integral.
Ejercicio ilustrativo 7.10.8 Período de un péndulo
El período de un péndulo es el tiempo que tarda un péndulo en realizar una oscilación completa de ida y vuelta. Para un péndulo con longitud \(L\) que forma un ángulo máximo \(\theta_{max}\) con la vertical, su período \(T\) está dado por
\[T=4\sqrt{\frac{L}{g}} \int_{0}^{\pi/2} \frac{d\theta}{\sqrt{1-k^2\sin^2\theta}}\]
donde \(g\) es la aceleración debida a la gravedad y \(k=\sin\left(\frac{\theta_{max}}{2}\right)\) (ver Figura 6.12). (Observamos que esta fórmula para el período surge de un modelo no linealizado de un péndulo. En algunos casos, para simplificación, se utiliza un modelo linealizado y \(\sin~\theta\) se aproxima por \(\theta\)). Use la serie binomial
\[\frac{1}{\sqrt{1+x}}=1+\sum_{n=1}^{\infty}\frac{(-1)^{n}}{n!}\frac{1\cdot3\cdot5\cdot\cdot\cdot(2n-1)}{2^{n}}x^{n}\]
para estimar el período de este péndulo. Específicamente, aproxime el período del péndulo si
a. Usa solo el primer término en la serie binomial, y
b. Usa los primeros dos términos en la serie binomial.

(Figura 7.10.3 Este péndulo tiene una longitud L y forma un ángulo máximo θmax con la vertical.)
Solución:
Usamos la serie binomial, reemplazando \(x\) con \(-k^{2}\sin^{2}\theta\). Entonces podemos escribir el período como
\[T = 4\sqrt{\frac{L}{g}} \int_{0}^{\pi/2} \left(1 + \frac{1}{2}k^{2}\sin^{2}\theta + \frac{1\cdot3}{2!2^{2}}k^{4}\sin^{4}\theta + \dots\right) d\theta.\]
a. Usando solo el primer término en el integrando, la estimación de primer orden es
\[T \approx 4\sqrt{\frac{L}{g}} \int_{0}^{\pi/2} d\theta = 2\pi\sqrt{\frac{L}{g}}.\]
Si \(\theta_{max}\) es pequeño, entonces \(k = \sin\left(\frac{\theta_{max}}{2}\right)\) es pequeño. Afirmamos que cuando \(k\) es pequeño, esta es una buena estimación. Para justificar esta afirmación, considere
\[\int_{0}^{\pi/2}\left(1+\frac{1}{2}k^{2}\sin^{2}\theta+\frac{1\cdot3}{2!2^{2}}k^{4}\sin^{4}\theta+\cdot\cdot\cdot\right)d\theta.\]
Dado que \(|\sin~x|\le1\), esta integral está acotada por
\[\int_{0}^{\pi/2}\left(\frac{1}{2}k^{2}+\frac{1\cdot3}{2!2^{2}}k^{4}+\cdot\cdot\cdot\right)d\theta<\frac{\pi}{2}\left(\frac{1}{2}k^{2}+\frac{1\cdot3}{2!2^{2}}k^{4}+\cdot\cdot\cdot\right).\]
Además, se puede demostrar que cada coeficiente en el lado derecho es menor que 1 y, por lo tanto, que esta expresión está acotada por
\[\frac{\pi k^{2}}{2}(1+k^{2}+k^{4}+\cdot\cdot\cdot)=\frac{\pi k^{2}}{2}\cdot\frac{1}{1-k^{2}};\]
lo cual es pequeño para \(k\) pequeño.
b. Para valores mayores de \(\theta_{max}\), podemos aproximar \(T\) usando más términos en el integrando. Al usar los primeros dos términos en la integral, llegamos a la estimación
\[ \begin{aligned} T &\approx 4\sqrt{\frac{L}{g}} \int_{0}^{\pi/2} \left(1 + \frac{1}{2}k^{2}\sin^{2}\theta\right) d\theta \\ &= 2\pi\sqrt{\frac{L}{g}} \left(1 + \frac{k^{2}}{4}\right). \end{aligned} \]
♦
Las aplicaciones de las series de Taylor en esta sección están destinadas a resaltar su importancia. En general, las series de Taylor son útiles porque nos permiten representar funciones conocidas utilizando polinomios, proporcionándonos así una herramienta para aproximar valores de funciones y estimar integrales complicadas. Además, nos permiten definir nuevas funciones como series de potencias, proporcionándonos así una herramienta poderosa para resolver ecuaciones diferenciales.
