Álgebra lineal con aplicaciones
| 2. Álgebra de matrices | 2.3 Multiplicación matricial |
Ejercicios propuestos para el Capítulo 2.3
Ejercicio 2.3.1 Calcula los siguientes productos de matrices:


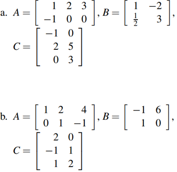
Ejercicio 2.3.2 En cada uno de los siguientes casos, encuentra todos los productos posibles A², AB, AC, y así sucesivamente:

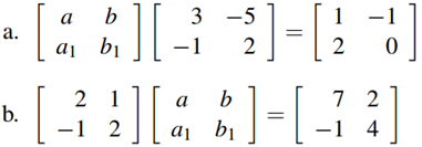
Ejercicio 2.3.3 Encuentra a, b, a1 y b1 si:

Páginas: 1 2
